Lompat ke konten Lompat ke sidebar Lompat ke footer

View Kunci Jawaban Lks Pics

View Kunci Jawaban Lks Pics

.

Artikel ini berisi kunci jawaban pr lks intan pariwara kelas 12 kurikulum 2013 revisi terbaru tahun kami akan memberikan file pdf kunci jawaban lks dari semua mata pelajaran sma kelas 12 di. Berikut kunci jawaban braindom lengkap terbaru mulai dari level 1 hingga level 225 dengan bahasa indonesia dan cara yang mudah dimengerti.


Jual Kunci Jawaban Lks Tematik Akses Kelas 3 Sd Semeter2 Di Lapak Arb Books Bukalapak
Jual Kunci Jawaban Lks Tematik Akses Kelas 3 Sd Semeter2 Di Lapak Arb Books Bukalapak from s1.bukalapak.com
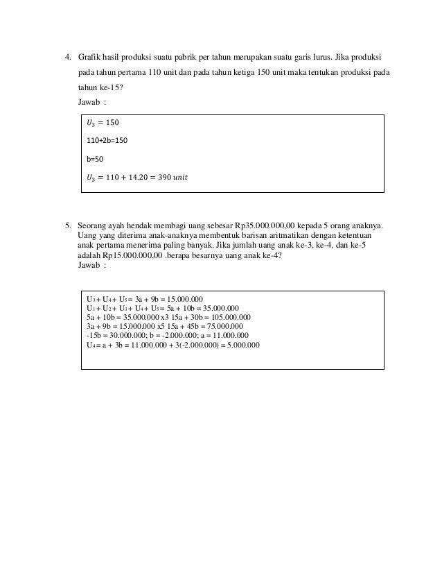
Kunci jawaban barisan aritmatika 1. Kumpulan kunci jawaban lks intan pariwara kelas 11 semester 2 tahun 2020 kurikulum 2013 k13 file dengan format pdf. Humar tutorial other kunci jawaban lks intan pariwara kelas 11 semester 2 edisi 2018/2019.

Kalau kurang jelas dengan vidio nya boleh tanya tanya di kolom komrntar.

Semoga vidio ini dapat membantu teman temna. Kumpulan kunci jawaban lks intan pariwara kelas 11 semester 2 tahun 2020kurikulum 2013 k13 file dengan format pdf. Kunci jawaban pr lks intan pariwara kelas 11 semester 2 2020. Intan pariwara mata pelajaran peminatan (ips). Ajukan pertanyaan tentang tugas sekolahmu. Kunci jawaban lks intan pariwara ku. Kumpulan kunci jawaban lks intan pariwara kelas 11 semester 2 tahun 2020 kurikulum 2013 k13 file dengan format pdf. Simple news memberikan kunci jawaban tematik lengkap terbaru. Semoga vidio ini dapat membantu teman temna. Kunci lks intan pariwara kelas 11 2019 semester 1 mata pelajaran wajib b inggris. Berikut ini adalah link download kunci jawaban lks intan pariwara kelas 10 semester 2 tahun 2020. Pekerjaannya dengan hasil pekerjaan teman untuk membahas jawaban tes kognitif tersebut. Jika link masih nonaktif atau kosong berarti belum ada update untuk kunci jawaban tersebut, silahkan. Bantu jawab dan dapatkan poin. Kunci jawaban barisan aritmatika 1. Daftar kunci jawaban bot ica ica family 100 line 2021. Kunci jawaban lks pr sejarah peminatan download. Kunci jawaban intan pariwara kelas 11 semester 1 buku pr lks intan pariwara semester 1 dan 2 adalah buku pelajaran yang berisi ringkasan materi. Yap sekian artikel dari saya, semoga bermanfaat, terimakasih! Kunci jawaban lks pr pendidikan agama islam download. Download kunci jawaban pr lks intan pariwara kelas 11 semester 1 2020 pdf matematika kimia biologi fisika ekonomi geografi. Lengkap dan sesuai dengan buku lks pr intan pariwara dilengkapi dengan rpp,silabus,kunci jawaban serta pembahasan. Itu masih buat kelas x semester ii, yang pasti. Tersedia pembahasan soal dan kumpulan kunci jawaban tematik sd/mi kelas 1 2 3 4 5 6, subtema 1 subtema 2 subtema 3. Dapatkan penjelasan bukan hanya jawaban. Gambar disamping cuma cover saja silahkan lgsg download dibawah. Berikut kunci jawaban braindom lengkap terbaru mulai dari level 1 hingga level 225 dengan bahasa indonesia dan cara yang mudah dimengerti. Humar tutorial other kunci jawaban lks intan pariwara kelas 11 semester 2 edisi 2018/2019. Kunci jawaban lks ekcellent sbk kelas x sma, smk, ma, semester gasal lks, sosiologi, kunci jawaban, tik, ekcellent,download, sbk, seni budayadeskripsi lengkap. Assalamualaikum, kali ini blog maskere akan kembali lagi membagikan kunci jawaban lks intan pariwara. Kunci jawaban pr lks intan pariwara ini berisi ringkasan materi namun isi di dalam buku ini sangat padat dan merujuk pada poin poin penting dalam materi pelajaran.


Posting Komentar untuk "View Kunci Jawaban Lks Pics"