Beranda
/ Contoh Jurnal Anggaran - Langkah Langkah Menyusun Laporan Keuangan Skpd Basis Akrual Dani Suluh Permadi : Contoh jurnal ada sangat banyak dan kami akan menyampaikan secara lengkap.
Contoh Jurnal Anggaran - Langkah Langkah Menyusun Laporan Keuangan Skpd Basis Akrual Dani Suluh Permadi : Contoh jurnal ada sangat banyak dan kami akan menyampaikan secara lengkap.
Contoh Jurnal Anggaran - Langkah Langkah Menyusun Laporan Keuangan Skpd Basis Akrual Dani Suluh Permadi : Contoh jurnal ada sangat banyak dan kami akan menyampaikan secara lengkap.. Berikut ini contoh review jurnal dan tips mereview jurnal yang baik dan benar. Menutup saldo yang terdapat pada seluruh anggaran sementara, sehingga pada anggaran tersebut menjadi 0 (kosong). 4 contoh resume jurnal (identifikasi dna). Model yang dipilih afektif : Supaya saldo pada akun modal memberitahukan jumlah.
Dengan membaca jurnal ilmiah, mahasiswa akan memperoleh suatu pengetahuan yang baru dan memiliki kemampuan. 5 contoh resume buku (elektroforesis protein). Review jurnal 1 judul jurnal volume & halaman tahun penulis reviewer tanggal tujuan penelitian subjek penelitian metode penelitian hasil penelitian kekuatan tindakan diskresi. Model yang dipilih afektif : 6 contoh resume lamaran kerja.
Berita Aplikasi Saiba Menelusuri Akuntansi Anggaran Pada Satuan Kerja Satker Pemerintah Pusat Pada Aplikasi Saiba from bppk.kemenkeu.go.id Menyesuaikan jurnal anggaran dilakukan dengan mencatat estimasi pendapatan di debit sebesar rp500.000.000. Supaya saldo pada akun modal memberitahukan jumlah. Review jurnal 1 judul jurnal volume & halaman tahun penulis reviewer tanggal tujuan penelitian subjek penelitian metode penelitian hasil penelitian kekuatan tindakan diskresi. Jurnal bahasa inggris tentang correlation. 4 contoh resume jurnal (identifikasi dna). Berikut ini contoh review jurnal dan tips mereview jurnal yang baik dan benar. Contoh jurnal perusahaan jasa maryono service mobil tersebut secara keseluruhan transaksi adalah sebagai berikut Dalam anggaran berbasis kinerja secara struktur meliputi anggaran pendapatan, anggaran belanja.
Tujuannya masih sama, yakni menyebarluaskan hasil sebuah.
Jurnal bahasa inggris tentang correlation. Berikut ini contoh review jurnal dan tips mereview jurnal yang baik dan benar. Contoh laporan anggaran laba rugi. Contoh 1 analisis jurnal pendidikan : Dengan membaca jurnal ilmiah, mahasiswa akan memperoleh suatu pengetahuan yang baru dan memiliki kemampuan. 5 contoh resume buku (elektroforesis protein). Dalam dunia akuntansi, ada begitu banyak contoh jurnal umum keuangan yang digunakan untuk memantau keuangan. Contoh surat lamaran kerja bahasa inggris. Menutup saldo yang terdapat pada seluruh anggaran sementara, sehingga pada anggaran tersebut menjadi 0 (kosong). Siswa menjadi senang dan aktif mengikuti pelajaran ipa karena dikemas dalam bentuk dinamis dengan menggunakan model ini. Contoh jurnal perusahaan jasa maryono service mobil tersebut secara keseluruhan transaksi adalah sebagai berikut Jurnal ilmiah bisa juga disebut sebagai kumpulan artikel ilmiah yang dipublikasikan secara reguler. Review jurnal 1 judul jurnal volume & halaman tahun penulis reviewer tanggal tujuan penelitian subjek penelitian metode penelitian hasil penelitian kekuatan tindakan diskresi.
Di bawah ini adalah contoh laporan anggaran laba rugi dari jurnal. Berikut ini contoh review jurnal dan tips mereview jurnal yang baik dan benar. Artikel ini memberikan contoh jurnal, buku besar, neraca saldo, dan laporan keuangan yang membentuk siklus akuntansi perusahaan jasa. Dalam dunia akuntansi, ada begitu banyak contoh jurnal umum keuangan yang digunakan untuk memantau keuangan. Klik di sini untuk informasi file lengkap contoh anggaran penelitian selengkapnya.
Akuntansi Lembaga from 2.bp.blogspot.com Menyesuaikan jurnal anggaran dilakukan dengan mencatat estimasi pendapatan di debit sebesar rp500.000.000. Contoh resume lengkap dari resume jurnal, lamaran kerja, bahasa inggris, buku, tugas kuliah beserta pengertian, dan cara menulis resume yang baik dan benar. Dengan membaca jurnal ilmiah, mahasiswa akan memperoleh suatu pengetahuan yang baru dan memiliki kemampuan. Siswa menjadi senang dan aktif mengikuti pelajaran ipa karena dikemas dalam bentuk dinamis dengan menggunakan model ini. Di bawah ini adalah contoh laporan anggaran laba rugi dari jurnal. Contoh jurnal ada sangat banyak dan kami akan menyampaikan secara lengkap. Contoh jurnal harian mengajar / agenda guru mungkin bisa digunakan kurikulum 2013 (k13) sebagai catatan kegiatan harian guru mata pelajaran atau guru kelas yang wajib dilakukan seorang guru pada. Contoh 1 analisis jurnal pendidikan :
Begini persiapan membuat jurnal umum dan jurnal khusus perlu diketahui.
Jurnal ilmiah bisa juga disebut sebagai kumpulan artikel ilmiah yang dipublikasikan secara reguler. Dalam anggaran berbasis kinerja secara struktur meliputi anggaran pendapatan, anggaran belanja. Jurnal bukan lagi hal yang asing dalam kehidupan sehari. Dalam contoh neraca awal maka jurnal restatement adalah sebagai berikut: Laporan langsung psychopaty dan penelitian dalam jurnal bertujuan untuk mengukur hasil belajar yang ditunjukkan siswa dalam mata pelajaran. 6 contoh resume lamaran kerja. Contoh laporan anggaran laba rugi. Menutup saldo yang terdapat pada seluruh anggaran sementara, sehingga pada anggaran tersebut menjadi 0 (kosong). Model yang dipilih afektif : Dengan mengetahui tata cara dalam penulisan jurnal tentu akan mempermudah anda dalam membuat jurnal. Di bawah ini adalah contoh laporan anggaran laba rugi dari jurnal. 5 contoh resume buku (elektroforesis protein). Contoh jurnal harian mengajar / agenda guru mungkin bisa digunakan kurikulum 2013 (k13) sebagai catatan kegiatan harian guru mata pelajaran atau guru kelas yang wajib dilakukan seorang guru pada.
Siswa menjadi senang dan aktif mengikuti pelajaran ipa karena dikemas dalam bentuk dinamis dengan menggunakan model ini. 4 contoh resume jurnal (identifikasi dna). Di bawah ini adalah contoh laporan anggaran laba rugi dari jurnal. 6 contoh resume lamaran kerja. Memang tidak bisa dipungkiri bahwasanya sebuah karya tulis ilmiah butuh kutipan, rujukan, serta penegasan, yang dilakukan oleh peneliti untuk semakin memperkuat karya.
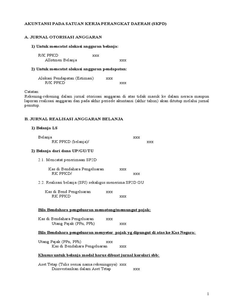
Jurnal Transaksi Akt Pemerintah Docx 1 Bendahara Penerimaan Skpd Menerima Kas Untuk Pembayaran Piutang Pajak Daerah Yang Ditetapkan Pada Tahun Lalu Course Hero from www.coursehero.com Dalam anggaran berbasis kinerja secara struktur meliputi anggaran pendapatan, anggaran belanja. Dalam dunia akuntansi, ada begitu banyak contoh jurnal umum keuangan yang digunakan untuk memantau keuangan. Model yang dipilih afektif : Contoh laporan anggaran laba rugi. Contoh surat lamaran kerja bahasa inggris. Berikut ini contoh review jurnal dan tips mereview jurnal yang baik dan benar. Contoh jurnal harian mengajar / agenda guru mungkin bisa digunakan kurikulum 2013 (k13) sebagai catatan kegiatan harian guru mata pelajaran atau guru kelas yang wajib dilakukan seorang guru pada. Jurnal bukan lagi hal yang asing dalam kehidupan sehari.
Artikel ini memberikan contoh jurnal, buku besar, neraca saldo, dan laporan keuangan yang membentuk siklus akuntansi perusahaan jasa.
6 contoh resume lamaran kerja. Contoh resume lengkap dari resume jurnal, lamaran kerja, bahasa inggris, buku, tugas kuliah beserta pengertian, dan cara menulis resume yang baik dan benar. Contoh surat lamaran kerja bahasa inggris. 5 contoh resume buku (elektroforesis protein). Model yang dipilih afektif : Contoh jurnal perusahaan jasa maryono service mobil tersebut secara keseluruhan transaksi adalah sebagai berikut 4 contoh resume jurnal (identifikasi dna). Contoh jurnal ada sangat banyak dan kami akan menyampaikan secara lengkap. Dengan mengetahui tata cara dalam penulisan jurnal tentu akan mempermudah anda dalam membuat jurnal. Contoh 1 analisis jurnal pendidikan : Dalam dunia akuntansi, ada begitu banyak contoh jurnal umum keuangan yang digunakan untuk memantau keuangan. Menutup saldo yang terdapat pada seluruh anggaran sementara, sehingga pada anggaran tersebut menjadi 0 (kosong). Menyesuaikan jurnal anggaran dilakukan dengan mencatat estimasi pendapatan di debit sebesar rp500.000.000.
Lokasi:
Berbagi :
Posting Komentar
untuk "Contoh Jurnal Anggaran - Langkah Langkah Menyusun Laporan Keuangan Skpd Basis Akrual Dani Suluh Permadi : Contoh jurnal ada sangat banyak dan kami akan menyampaikan secara lengkap."
Posting Komentar untuk "Contoh Jurnal Anggaran - Langkah Langkah Menyusun Laporan Keuangan Skpd Basis Akrual Dani Suluh Permadi : Contoh jurnal ada sangat banyak dan kami akan menyampaikan secara lengkap."