Mengerjakan Soal Kalkulus Beserta Jawaban
20190710 Contoh Soal Sejarah Masa Hindu-Budha - Pada kesempatan kali ini saya akan membagikan kepada kalian sedikit latihan soal sejarah Bab Periode sejarah. Seni rupa merupakan satu cabang yang menghasilkan karya seni dengan media.
Contoh Soal Aturan Hasil Bagi Turunan Kalkulus Keturunan Science
20201208 Yang menarik aplikasi ini juga dapat membantu pengguna untuk mencari jawaban soal-soal matematika yang berkaitan dengan kalkulus vektor liner dan lainnya.

Mengerjakan soal kalkulus beserta jawaban. 20190801 Cara Receh Menyelesaikan Soal Limit Trigonometri 12 views Begini Jadinya Kalau Kalkulus Dijadikan Meme 12 views Ruang Dimensi Tiga 12 views Koleksi Soal Ujian Kalkulus I 11 views Quiz Nilai Mutlak 11 views 10 views. Motif isen yang berbentuk garis pendek disebut. Kalau belum ketemu maju 1 kalimat lagi.
Misalkan terdapat suatu fungsi f x limit dari fungsi tersebut untuk nilai x mendekati a yaitu. Kalau pada kalimat yang ada kata kuncinya tidak ketemu maju 1 kalimat. Contoh Soal Dan Pembahasan Integral Bentuk Pecahan Kalkulus Memahami Macam Macam Integral Rumus Matematika Teorema Dasar Kalkulus Beserta Contoh Soal Dan Jawaban.
Dengan menggunakan aplikasi ini pengguna serasa memiliki. Susunlah integral yang sesuai untuk menentukan volume benda yang terbentuk dengan menunjukkan sketsa jalur potongan dan hampirannya dari daerah R R yang dibatasi oleh y x3x 1x3 y x 3 x 1 x 3 dan y 0 y 0 apabila diputar mengelilingi. B Garis y 1 y 1.
20180824 Aplikasi ini sangat baik untuk belajar soal Matematika terutama kalkulus. Hitung luas daerah D c. Diketahui daerah D dibatasi kurva y x garis y 1 garis x 4.
Hitung volume benda putar bila D diputar terhadap sumbu y. 20181130 Pada pembahasan soal sebelumnya saya tulis bahwa Biasanya jawaban soal nggak jauh-jauh dari kata kuncinya. 20200812 Soal dan jawaban kalkulus 2Soal dan jawaban turunan matematika 1.
Keunggulan dalam memecahkan masalah matematis yang sulit dipecahkan menjadi salah satu faktor mengapa materi ini dipelajari secara luas dan salah satu ilmu penting di matematika. 20210204 Kalkulus dasar meliputi konsep limit turunan diferensial dan anti-turunan integral. 20200825 1 10 Soal Kalkulus Dasar beserta Jawaban 1.
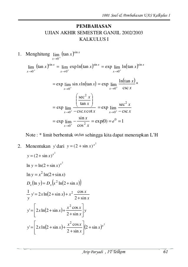
By widi di february 02 2018. 20141003 1001 Soal Pembahasan UAS Kalkulus I Volume kulit tabung tersebut adalah. Gambarkan daerah D b.
Sama seperti aplikasi lainnya kamu hanya perlu memasukkan permasalahan kalkulus dan aplikasi ini akan menjawabnya dengan sangat cepat. Soal dan Jawaban Kalkulus 1 Pertidaksamaan - Soal dan Jawaban Kalkulus 1 Pertidaksamaan Soal Kalkulus soal dan jawaban kalkulus soal-soal kalkulus latihan soal kalkulus soal pembahasan. DV 2 rtDr 2 4 x x 3x 4Dx 2 p p 2 x x 16x 16Dx 3 2 p Apabila volume seluruh kulit tabung dijumlahkan akan diperoleh volume.
20201116 Secara garis besar contoh soal kalkulus adalah sebuah materi yang amat penting dalam berbagai ilmu termasuk matematika. Sebelum mengerjakan soal yang kami berikan akan lebih baik kalian baca terlebih dahulu materi sejarah masa hindu-budha di indonesia ikuti tatutan ini untuk membaca materi. Teori tentang limit sebuah fungsi merupakan akar dari aljabar kalkulus.
Latexpage berikut ini adalah 5 soal uas kalkulus integral ta 2017 2018 yang diujikan pada tanggal 15 januari 2018 oleh drs. Faktorial Matematika Beserta Contoh Soal Dan Jawaban Pinterpandai Contoh soal kalkulus dasar. Besaran Ruang Perubahan Struktur Dasar.
Misalkan terdapat f x ax n maka turunan dari fungsi tersebut adalah f x anx n-1. Misalkan terdapat fungsi f x ax n. 20210211 Contoh Soal Soal dan Jawaban Kalkulus 1 Pertidaksamaan Contoh Soal Soal dan Jawaban Kalkulus 1 Pertidaksamaan Soal Kalkulus soal dan jawaban kalkulus soal-soal kalkulus latihan soal kalkulus soal pembahasan.
20200324 Contoh soal dan pembahasan integral tak tentu integral tentu kalkulus 2. 20210215 Contoh Soal CPNS 2018. Pada kesempatan kali ini saya akan berbagi bebrapa contoh soal dari proposisi dan tabel kebenaran beserta pembahasannya.
Ini adalah tipe bacaan sedang jadi terbagi dalam beberapa paragraf. 20200812 Contoh soal beserta jawaban seni budaya 3 dimensiSemua jawaban salah jawaban b 7. 20180119 Soal Nomor 1.
11 definisi integral tak tentu indefinite integral jika maka y adalah fungsi yang mempunyai turunan fx dan disebut anti turunan antiderivate dari fx atau integral tak tentu dari fx yang diberi notasi. Kita telah mempelajari arti diferensial atau turunan di kelas xi. Logika matematik proposisi dan notasi nilai kebenaran proposisi contoh soal.
20190212 Rumus Matematika Keuangan Contoh Soal dan Jawaban Induksi Matematika Rumus Pembuktian Deret Keterbagian Pertidaksamaan Soal Pembahasan dan Jawaban Jenis dan Bidang-Bidang Matematika. A Sumbu Y Y.
Topologi Matematika Contoh Soal Dan Jawaban Ruang Topologi Matematika Belajar
Pitagoras Rumus Pitagoras Teorema Pythagoras Soal Dan Jawaban Teorema Pythagoras Sekolah Dasar Geometri
Jawaban Soal Latihan Purcell Subbab 0 8 Belajar
Contoh Soal Dan Jawaban Integral Contoh Soal Dan Materi Pelajaran 7
Rumus Kalkulus Operasi Hitung Contoh Soal Dan Jawaban
Contoh Soal Kalkulus Dasar Dan Jawaban Pembahasan
Tes Matematika Deret Angka 8 56 7 42 6 30 5 20 Jadi 3 Matematika Belajar
Teorema Dasar Kalkulus Beserta Contoh Soal Dan Jawaban
Contoh Soal Kalkulus Dasar Dan Jawaban Pembahasan
Contoh Soal Kalkulus Dasar Dan Jawaban Pembahasan
26 Matriks Matrices Matematika Kelas 5 Buku Catatan Matematika Kalkulus
Fungsi Matematika Linear Konstan Identitas Soal Dan Jawaban Converse Chuck Matematika
Contoh Soal Dan Jawaban Integral Contoh Soal Dan Materi Pelajaran 7
Contoh Soal Kalkulus Dasar Dan Jawaban Pembahasan
Koordinat Kartesius Koordinat Persegi Penjelasan Soal Dan Jawaban Kalkulus Kartografi Matematika
Contoh Soal Dan Jawaban Di Mata Kuliah Kalkulus Ilmusosial Id


Posting Komentar untuk "Mengerjakan Soal Kalkulus Beserta Jawaban"