Soal Mid Bahasa Indonesia Kelas 3 Sd Semester 2
Kumpulan soal latihan uts pts kelas 3 sd mi semester 1 2. Semoga soal UTS Bahasa Indonesia ini dapat membantu adik-adik yang akan menghadapi Ujian Tengah Semester UTS 2.
Soal Ulangan Semester 2 Kelas 3 Tema 7 Perkembangan Teknologi Sekolahdasar Net
Dan untuk lebih jelasnya tentang lks tema 7 kelas 5 semester 2 ini mari kita bahas bersama-sama.

Soal mid bahasa indonesia kelas 3 sd semester 2. Soal Bahasa Indonesia Kelas 3 By Ahmad Ghani Posted on September 6 2020 Contoh Soal Bahasa Indonesia Kelas 3 Semester 1 dan Semester 2 Kurikulum 2013 untuk kisi kisi latihan soal uas mid. Terdiri dari PKn Bahasa Indonesia Matematika IPA IPS dan Bahasa Jawa yang diupdate secara berkala agar dapat mengikuti perkembangan zaman. Latihan Soal UAS Bahasa Indonesia Kelas 3 SD Semester 2 Kunci Jawaban By Redaksi on Mei 30 2018.
Artikel contoh Soal Bahasa Indonesia Kelas 6 untuk SD MI semester 12 2020-2021 lengkapi PG dan esai serta kunci jawaban Indonesia. Soal bahasa jawa kelas 5 semester 1 dan kunci jawaban guru ilmu. All right in indonesian is.
Soal UTS Bahasa Indonesia ini sudah dilengkapi dengan kunci jawaban. Semoga soal UTS Bahasa Indonesia ini dapat membantu adik-adik kelas 3 untuk persiapan menghadapi Ujian Tengah Semester UTS 2 Soal UTS Bahasa Indonesia Kelas 3 Semester 2 Terbaru. Soal dan Jawaban PTS UTS Bahasa Indonesia Kelas 6 Semester 2 Soal yang Admin bagikan ini dibuat berdasarkan Buku Guru dan Siswa Kurikulum 2013 sesuai buku revisi tahun 2017 dan 2018.
Soal UTS Bahasa Indonesia terbaru ini sudah lengkap dengan lembar kunci jawabanSelain itu soal dan kunci jawaban UTS Mapel Bahasa Indonesia ini dapat kalian download secara gratis. Oleh admin Diposting pada 26 Januari 2021. Contoh Soal Bahasa Indonesia Kelas 3 SD Semester 1 Dan 2 Paragraf berikut untuk pertanyaan nomor 1 sampai dengan 5.
Dan contoh soal ujian Bahasa Indonesia Kelas 2 sdmi semester 1 dan kunci jawaban ini dilengkapi dengan lembar jawaban. Soal bahasa inggris kelas 3 sd mid semester 2. Rumuscoid Pada kesempatan kali ini kita akan membahas makalah materi tentang bank contoh soal bahasa indonesia kelas 8 semester.
Berikut ini adalah contoh latihan Soal UTS Bahasa Indonesia Kelas 3 Semester 2 terbaru Tahun Ajaran 20172018. Demikian tadi contoh soal evaluasi MID Semester Genap mata pelajaran BAHASA INDONESIA Kelas 3 SD yang bisa kami berikan. Kisi-Kisi PAS SD Semster 2 Kelas 1 Tema 5 Bank Soal PAS SD Semester 2 Tahun 2021 Lengkap Sinyanurmy Soal dan Kisi Kisi PTS SD Semester 2 SD Lengkap Kelas 6.
Berikut ini adalah contoh latihan Soal UTS Bahasa Indonesia Kelas 3 Semester 2 Terbaru Tahun Ajaran 20182019. TRIBUNPONTIANAKCOID - Berikut kita dibahas kunci jawaban contoh soal untuk latihan menghadapi Ulangan. Paket X Bahasa Indonesia Paket X Bahasa Indonesia.
Semoga soal soal ulangan yang kami berikan bermanfaat untuk anda. Andi menemukan sebuah dompet di jalan ketika ia berjalan pulang dari sekolah. Berikut ini adalah soal uts bahasa inggris sd kelas 3 semester 2 ta 2017 2018 yang bisa dibaca dan di download secara mudah dan gratis.
Berikut kita dibahas kunci jawaban contoh soal untuk latihan menghadapi Ulangan Tengah Semester UTS atau Penilaian Tengah Semester PTS materi Bahasa Indonesia SD Kelas 6 Semester 2. Andi dan Rina berteman sejak kecil. Contoh Soal Bahasa Indonesia Kelas 8 Semester 1 dan Semester 2 Kurikulum 2013 untuk kisi kisi latihan soal uas mid semester berupa soal pilihan ganda dan essay semua.
Atau penilaian MID semester untuk Kelas 3 SDMI Semester 1. Dan contoh soal MID Bahasa Indonesia Kelas 3 sdmi semester 1 dan kunci jawaban ini. Download kumpulan soal UTS Kelas 3 Semester 2 lengkap Ulangan Tengah Semester untuk mengukur kemampuan kognitif siswa pada pertengahan semester kedua setiap tahunnya.
Kunci Jawaban Soal PTS BAHASA INDONESIA Kelas 3 Semester 2. Soal PTS BAHASA INDONESIA Kelas 3 Semester 2. 9 hours agoTRIBUNNEWSMAKERCOM - Perhatikan dengan teliti artikel berikut ini mengenai soal dan kunci jawaban latihan UTS dan PTS pelajaran Bahasa Indonesia kelas 6 SDMI bagian pilihan gandan dan essay.
DI tema ini ada 3 sub tema. Download soal uts bahasa inggris k13 sd kelas 6 5 4 3 2 1 2020 2021. Soal Bahasa Indonesia Kelas 3 Semester 1 2 Serta Jawabannya By Azzahra Rahmah Posted on January 10 2020 Rumuscoid Pada kesempatan kali ini kita akan membahas makalah materi yakni tentang Contoh Soal Bahasa Indonesia Kelas 3 Semester.
Berikut ini adalah contoh latihan soal Ulangan Tengah Semester UTS 2 mata pelajaran Bahasa Indonesia untuk siswa-siswi yang duduk di bangku Sekolah Dasar Kelas 2. SOAL UTS Bahasa Indonesia Kelas 3 SD Semester 2 dan Kunci Jawaban Pilihan Ganda Essay. Soal UTS Bahasa Indonesia ini sudah dilengkapi dengan kunci jawaban.
BERILAH TANDA SILANG X PADA HURUF A B C ATAU D PADA JAWABAN YANG BENAR. Soal matematika kelas 6 sd semester 1. Atau penilaian MID semester untuk Kelas 2 SDMI Semester 1.
Kunjungi administrasi menarik lainnya. Soal UASPAS SD Bahasa Sunda Kelas 4 Semester 2 yang kami sajikan di bawah berdasarkan kurikulum 2013 Kurtilas. Ia mengambil dompet tersebut kemudian membawanya pulang ke.
Pertanyaan yang tepat untuk jawaban seperti di.

Soal Uts Bahasa Indonesia Kelas 3 Semester 2 Terbaru Tahun 2018 2019 Juragan Les

Soal B Indonesia Kelas Iii Uts Mid Semester Ii 09 10
Contoh Soal Essay Bahasa Indonesia Kelas 5 Sd
Soal Bahasa Indonesia Kelas 3 Semester 2
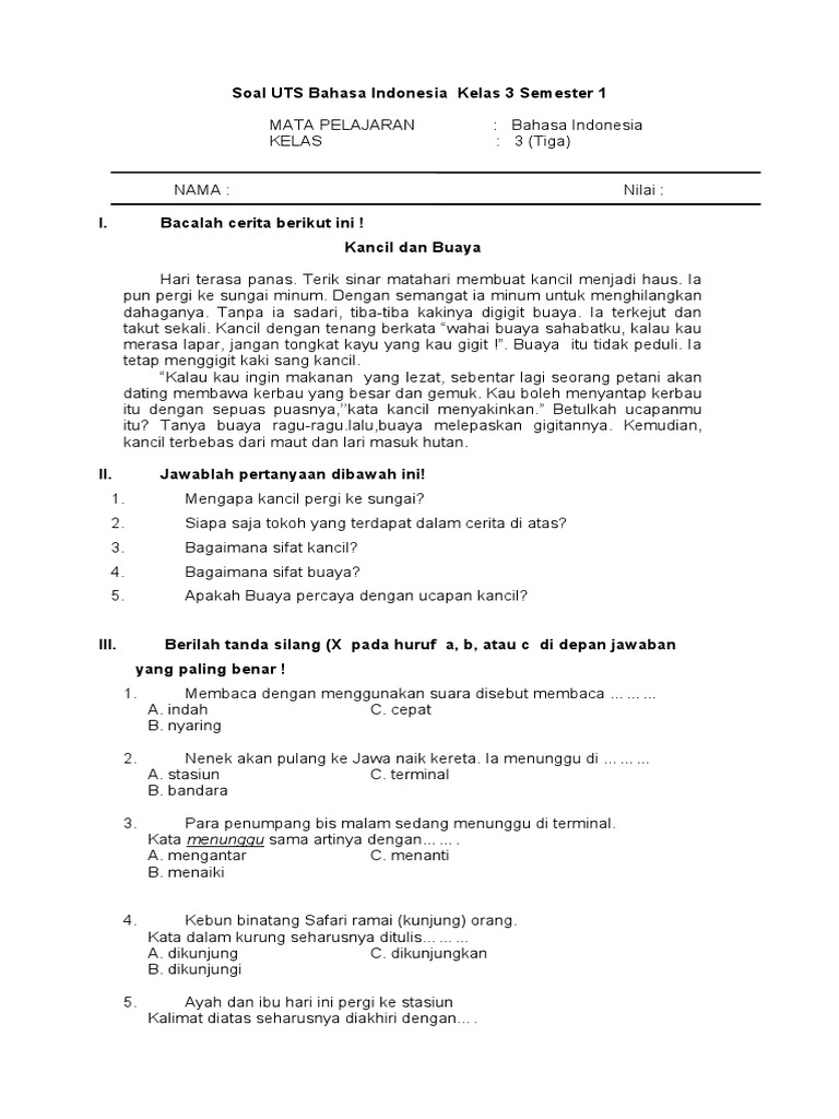
Soal Uts Bahasa Indonesia Kelas 3 Semester 1

Soal Uts Bahasa Indonesia Kelas 3 Semester 2 Terbaru Dan Kunci Jawaban
Soal Ulangan Semester 2 Kelas 3 Tema 5 Cuaca Sekolahdasar Net

Soal Uts Bahasa Indonesia Kelas 3 Semester 2 Tahun Ajaran 2017 2018 Juragan Les
Soal Pelajaran Bahasa Indonesia Kelas 3 Sd Semester 1

Soal Ukk Bahasa Indonesia Kelas 3 Sd Mi Tahun Ajaran 2019 2020 Sekolah Dasar Islam
![]()
Soal Uts Kelas 3 Semester 2 Fasrquiet

Soal Pelajaran Bahasa Indonesia Kelas 3 Sd

Kumpulan Soal Ulangan Harian Kelas 3 Semester 2 Sekolahdasar Net

Soal Uts Bahasa Indonesia Kelas 3 Sd Semester 2 Dan Kunci Jawaban Pilihan Ganda Essay Tribun Pontianak
Soal Essay Bahasa Indonesia Kelas 8 Semester 2
Soal Essay Bahasa Indonesia Kelas 3 Sd



Posting Komentar untuk "Soal Mid Bahasa Indonesia Kelas 3 Sd Semester 2"