Kunci Jawaban Lks Pkn Sma Kelas 10 Semester 1
Contoh kunci jawaban revisi lks pkn kelas 7 semester 1 intan pariwara 2021. Lks Geografi Kelas 10.

Soal Pkn Kelas 12 Semester 2 Pilihan Ganda Essay Dan Kunci Jawaban
Jawaban Tugas Pkn Kelas 10 Halaman 145 Guru Ilmu Sosial.

Kunci jawaban lks pkn sma kelas 10 semester 1. Download Kunci Jawaban PR LKS Intan Pariwara Kelas 10 X Semester 1 20192020 Download Kunci Jawaban PR LKS Intan Pariwara Kelas 11 XI Semester 1 20192020 Download Kunci Jawaban PR LKS Intan Pariwara Kelas 12 XII Semester 1 dan Semester 2 20192020. Kunci jawaban pkn kelas 10 kurikulum 2013 bab 5. 43 Kunci Jawaban Pkn Kelas 12 Bab 3 Hal 92 Pictures.
Soal pasuas kelas 4 kurikulum 2013 revisi 2020 semester 1 dengan kunci jawaban. Kunci jawaban lks pkn kelas 10 semester 1 revisi 2021. Kunci Jawaban LKS Intan Pariwara Kelas 10 Semester 1 20192020 Pada kesempatan kali ini pelajarwebid akan membagikan Kunci Jawaban LKS Intan Pariwara Kelas 10 Semester 1 20192020 dalam bentuk softfile PDF yang bisa kalian download secara gratis.
Lks Zamrud 6a Pendidikan Agama Islam Dan Budi Pekerti Pusat Lks. Saya mau infokan bahwa siapa saja yang mau kunci jawaban untuk buku intan pariwara kelas 10 maupun kelas 11 semseter 1 dan semester 2. Jual Lks Zamrud Kelas 1 Semester 1 Ipa Blanja Com.
Kunci jawaban lks kimia kelas 10 semester 1 kurikulum 2013 revisi 2021. Buku pr lks intan pariwara adalah buku pelajaran yang berisi ringkasan materi. Soal dan jawaban yang dibahas berikut hanyalah sebagai referensi bahan belajar bagi siswa dan guru dan orang tua dalam.
Nih gan download kunci jawaban buku pr fisika kelas 10 sma semester 2 assalamualaikum ada 2 link gan mohon dicoba semua. Karena biasanya soal ips kelas 10 sma semester 2 yang akan diujikan tidak jauh berbeda dengan soal tahun sebelumnya. TRIBUNPONTIANAKCOID - Berikut kita dibahas kunci jawaban soal untuk latihan Penilaian Akhir Semester PAS maupun Ulangan Akhir Semester UAS materi Pendidikan Kewarganegaraan PKn PPKN Kelas 10 X SMA Semester 1 tahun 2020.
Demikian kumpulan soal matematika kelas 4 sd semester 1 dan 2 dilengkapi dengan kunci jawaban. Demikian soal pembahasan dan kunci jawaban pas matematika wajib dan peminatan kelas 10 x sma mipa ips semester 1 kurikulum 2013. Materi Matematika Kelas 10 Kurikulum 2013 Revisi 2017 Sahabat buku paket pada kesempatan kali ini kami akan berbagi materi pelajaran matematika untuk SMASMK kelas 10 berdasarkan kurikulum 2013 hasil revisi terbaru 2017.
Semoga mendapatkan hasil yang memuaskan. Kunci jawaban pr lks intan pariwara kelas 10 x semester 1 2019 2020 pdf buku pr lks intan pariwara adalah buku pelajaran yang berisi ringkasan materi. Soal Ipa Kelas 8 Semester 1 Dan Kunci Jawaban Kurikulum 2013 Pilihan Ganda Essay Info Pendidikan Terbaru.
Download kunci jawaban dan soal soal uts pkn kelas 10. Contoh Soal Dan Jawaban Simple Present Kunci jawaban lks pkn kelas 9 smp kurikulum 2013 berikut ini adalah kunci jawaban lks pkn kelas 9 smp kurikulum 2013 yang bisa anda download secara gratis di website kami. Dimana materi materinya telah singkat padat dan jelas.
Jual Lks Zamrud Kelas 7 Semester 2 Ipa Terpadu Blanja Com. Berikut ini soal bahasa inggris kelas 10 semester 2 dan kunci jawaban kurikulum 2013. Kunci jawaban pkn kelas 10 kurikulum 2013 bab 5.
Walaupun hanya ringkasan namun isinya sangat padat dan merujuk ke poin-poin materi pelajaran. Kunci Jawaban Buku PR LKS Intan Pariwara Kelas 10 Tahun 20202021 Dalam kesempatan kali ini saya ingin menyampaikan hal yang tentunya dipertanyakan banyak orang yaitu tentang file PDF pembahasan soal dan kunci jawaban Buku PR Intan PariwaraTahun pelajaran 20192020 semester 1 pihak penerbit terakhir kali memberikan kumpulan kunci jawaban semua. Kunci Jawaban LKS Intan Pariwara Kelas 10 11 12 Semester 2 Tahun 20202021 Secara konsep seperti ini.
Materi KD 1 Soal KD 1 Materi KD 2 Soal KD 2 Materi KD 3 Soal KD 3 Soal Penilaian Harian PH demikian seterusnya. Kunci jawaban lks intan pariwara kelas 10 11 12 semester 2 tahun 2020 buku pr intan pariwara adalah buku lembar kerja siswa atau lks yang sangat komplit menurut guru dan siswa. Kali ini admin kelasumum id akan membagikan kunci jawaban lks intan pariwara kelas 10 semester 1 tahun ajaran 2019 2020.
Memiliki pegangan dan pedoman jawaban. Kunci jawaban soal pas ppkn smp kelas 9 kurikulum 2013 tahun pelajaran 2019. Kunci Jawaban Lks Pkn Kelas 11 Semester 1 - Guru Galeri Buku Guru pkn kelas xi semester 1 ms11 Pelajaran Pkn Kelas 11 Semester 1 Kurikulum 2013 - Cara Mengajarku Buku Pegangan Guru PPKN SMASMK Kelas 11 Kurikulum 2013 Soal dan jawaban essay pkn kelas xi semester 2 Buku Lks PPKn Kelas 11 Semester 2 Mapel Wajib K13 Intan Pariwara Shopee Indonesia Buku SIswa PPKn Kelas.

Kunci Jawaban Pkn Kelas 7 Kurikulum 2013 Mata Pelajaran
![]()
Doc Kelas Ix Pkn Kelas 9 Ridwan Hidayat Academia Edu

Kunci Jawaban Intan Pariwara Ppkn Kelas 12 Tahun 2020 2021
Soal Pkn Kelas 12 Semester 1 Kurikulum 2013 Essay Jawabanku Id

Kunci Jawaban Pr Lks Intan Pariwara Kelas 10 Semester 1 2020

Kunci Jawaban Lks Intan Pariwara Kelas 10 Semester 1 2020
Buku Pendamping Ppkn Smp Mts Kelas 8 Kunci Jawaban Incer Shopee Indonesia
Buku Pendamping Ppkn Smp Mts Kelas 7 Kunci Jawaban Incer Shopee Indonesia

Soal Dan Jawaban Pkn Kelas 10 Semester 1 Lengkap Muttaqin Id

Kunci Jawaban Lks Pkn Kelas 10 Semester 1 Kurikulum 2013 Cara Golden

Thaidraws Kunci Jawaban Intan Pariwara Kelas 10 11 12
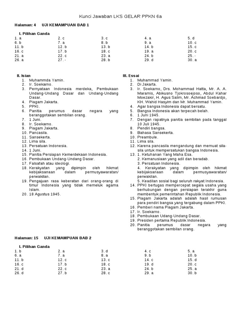
Kunci Jawaban Lks Gelar Pkn Kelas 6a

Kunci Jawaban Lks Intan Pariwara Kelas 12 Semester 1 2020

46 Kunci Jawaban Lks Pkn Kelas 7 Semester 2 Kurikulum 2013 Pictures Kunci 13
![]()
Pdf Perangkat Kunci Pkn 12 Medali Nur Aqida Academia Edu

Download Kunci Jawaban Pr Lks Intan Pariwara Kelas 10 Tahun 2021
![]()
Doc Kunci Jawaban Pkn Smk Kelas Xi Deldel Gamebell Academia Edu

14 Kunci Jawaban Lks Intan Pariwara Kelas 12 Semua Pelajaran Ilmusiana
Posting Komentar untuk "Kunci Jawaban Lks Pkn Sma Kelas 10 Semester 1"