Soal Bahasa Madura Kelas 3
Soal bahasa madura kelas 3. Hari Minggu sekolah libur.
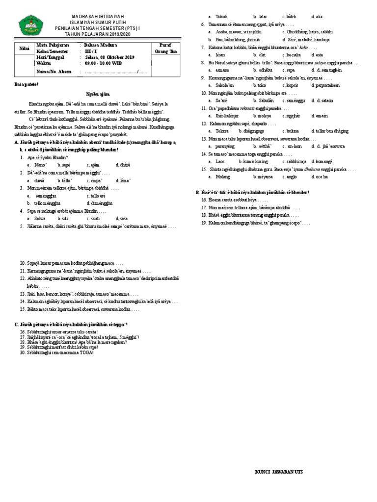
Download Soal Pts Bahasa Madura Kelas 3 Semester 1.
Soal bahasa madura kelas 3. Buku Bahasa Sunda Kelas 3 Sd Kurikulum 2013 Revisi 2017 Kunci Jawaban Rancage Diajar Basa Sunda Kelas 3 Guru Ilmu Sosial Soal Uas B Sunda Kls 3 Sd Mi Semester 1 K13 Beserta Kunci Jawaban Buku Bahasa Sunda Kelas 3 Sd Rancage Diajar Basa Sunda K2013 Soal Uts Bahasa Sunda Kls 3 Sd Mi Semester 1 Dan 2 Contoh Soal. Jawab soal petanya ebaba reya. Soal Bahasa Daerah Bugis Kelas 4 Doc bank soal lomba tangkas terampil koperasi soal ulangan bahasa daerah makasar kelas 1 sd soal pilihan ganda bahasa daerah bugis soal ula.
Contoh soal uts lengkap sd mi semua mata pelajaran. Sala setthong jawaban sepaleng teppak. Soal bahasa indonesia kelas 3 semester 2 ini adalah pilihan ganda disertai dengan kunci jawabannya.
Subtema 4 cuaca musim dan iklim. Bahasa Madura H Fl A H D N Ph T I Fi N Ff Da Tis Pdf. Bali dan Batak c.
Soal Uts Bahasa Madura Kelas 3 Semester 1. Jawa dan Madura b. Oddhi bana mon tao toles nyamana ghantongan ban dhampengan se bada neng okara jaban reya.
Soal UTS Tematik Kelas 5 Semester 2 Th. Rina selalu berkunjung ke rumah nenek. Play this game to review World Languages.
Uts 2 dan ukk. Contoh soal matematika kelas 2 sd semester 1. Nenek tinggal bersama Ranti saudari sepupu Rina.
Doc Rrp Bahasa Madura Kelas 4 Docx Winda Novelasari Academia Edu. Di Kabupaten Ketapang ada dua suku terbesar yaitu suku. Soal UTS Bahasa Indonesia Kelas 3 Semester 1.
Tema 5 berjudul Cuaca untuk soal PPKN Matematika Bahasa Indonesia dan SBDP. Empat ratus tujuh puluh delapan. Itulah contoh Soal UTSPTS Bahasa Madura Kelas 6 Semester 2 dan Kunci Jawaban yang bisa kami ketengahkan kehadapan siswa-siswi sekolah dasarmadrasah ibtidaiyah kelas 1.
Soal Pts Bahasa Madura Kelas 3. Didalam tiap tema terdapat 4 subtema. Diharapakan dengan hadirnya contoh Soal UTS Bahasa Madura Kelas 3 Semester 2 k13 ini sedikit banyak bisa membantu adik-adik menambah wawasan tentang bahasa tempat tinggalbahasa lokal bagi masyarakat Pulau madura.
Kelas SMT. Warna dan pola bahasa Melayu terletak pada. NA Report this link.
7 1 8 Materi Pelajaran IPA Kelas 3 SDMI Semester 12 Bab 7 Gerak Benda. Kunci JawabanRPPAdministrasiJawaban SoalBuku Bahasa Madura Kelas 11. Soal bahasa madura kelas 3 sd yang bisa bapakibu guru unduh secara gratis dengan menekan tombol download.
Kunci Jawaban Lks Bahasa Jawa Kelas 4 Semester 1. Jika ingin mengunduh Soal UTSPTS Bahasa Madura Kelas 6 Semester 2 dan Kunci Jawaban bisa adik-adik download dalam format word DISINI. Contoh Soal Uas Ganjil Bahasa Madura Kelas 7 Smp Mts Soal Pts Uts Bahasa Madura Kelas 1 Semester 1 Tahun 2018 2019 Contoh Soal Uas Ganjil Bahasa Madura Kelas 7 Smp Mts Halo teman-teman kelas 11 silahkan bagi.
Kumpulan Soal Uts Tahun 2013 2014. Guru dan siswa mendiskusikan. Bacalah bacaan berikut ini dengan seksama.
Soal bahasa madura kelas 3 semester 2 yang bisa bapak ibu guru unduh secara gratis dengan menekan tombol download. Soal UTSPTS Bahasa Madura Kelas 3 Semester 2 dan Kunci Jawaban Tahun Pelajaran 20202021 kembali kami ketengahkan kehadapan siswa-siswi sekolah dasarmadrasah ibtidaiyah dikarnakan pada tidak akan lama lagi sudah akan memasuki ujian tengan semester genap. Orang Dayak tinggal di daerah.
I II No. Jika ingin mengunduh Soal UTSPTS Bahasa Madura Kelas 1 Semester 2 dan Kunci Jawaban bisa di download dalam format word DISINI. Soal-soal tematik dapat dijadikan sebagai bahan referensi contoh dalam pembuatan soal ulangan Kelas 3.
Contoh Soal Muatan Lokal Kelas 3 SDMI dan Kunci Jawabannya 2019. September 24 2020 Author. Soal bahasa madura kelas 3 sd.
Soal Bahasa Madura Dan Kunci Jawaban Uts Kelas 6 Edukasi Islami. MfD po gih lgGucepPetMkt. Jaraknya sekitar 3 kilometer.
Berri tandha pakal X dha. Soal soal tematik integratif sd kelas 6 kurikulum 2013 tema 2. Sebbhudhaghi tabhaligga oca jhujhur bannyana 3 oca.
Dinamika gerak tari lokasi. Dan contoh Soal UTS Bahasa Madura Kelas 3 Semester 2 k13 ini diharapakn bisa dijadikan sebagai bahan tambahan belajar dan membantu adik-adik melatih menjawab soal-soal ujian Basa Madura. 2019 2020 kurikulum 2013.
Video pembelajaran muatan sbdp kelas 3 tema 1 subtema 2 materi pokok. Aku adalah bilangan 12. 20210201 Soal UTS Bahasa Madura Kelas 3 Semester 2 k13 ini bisa dijadikan sebagai tambahan belajar dan latihan menjawab soal bahasa madura baik saat ulangan harian bahasa madura ataupun saat penilaian.
Apa nyamana budhuna budhuna koceng. Silabus Kelas 3 Tema 2 Subtema 1 Soal Bahasa Madura Sma Kelas Xi Semester 2 - Sekolah Kita - Lemas demikian artikel tentang soal tematik kelas 3 tema 1 subtema 2. Soal Uas Bahasa Sunda Kelas 3 Sd Semester 1 Ganjil Warna Cat Soal Uas Ukk Bahasa Sunda Kelas.
20210323 Soal jawaban uas pas smp kelas 8 semester 1. Kolom kolom utama dan tebing payung. Bahasa Madura Nama.
Tahun pelajaran 2013 2014 m rasyad sdn cenlecen 2 pakong pamekasan madura materi dari buku bhasa madhura sare taman. Berikut ini adalah download 131 format administrasi kelas terbaru 2017 2018 yang merupakan kumpulan file dari berbagi sumber. Soal Bahasa Madura Dan Kunci Jawaban Uts Kelas 6 Edukasi.
Mon toron ojhan sabbhan are enyamae mosem. Rumah nenek tidak terlalu jauh dari Rumah Rina. Ulangan Semester Bahasa Madura.
Soal UAS Tematik Kelas 3 Tema 3 yang kami susun merupakan materi yang diambil dari Buku Kelas III Kurikulum 2013 dan beberapa perluasan materi yang telah disesuaikan. Buku bahasa madura kelas 3.
Soal Bahasa Madura Kelas 3 Sd Semester 2 Ops Sekolah Kita

Soal Bahasa Madura Kelas 3 Sd Semester 2 Ops Sekolah Kita
![]()
Soal Bahasa Madura Kelas 3 Sd Semester 2 Ops Sekolah Kita
Soal Pts Bahasa Madura Kelas 3
![]()
Soal Uts Bahasa Madura Kelas 2 Smp

Pemerintah Kabupaten Jemberunit Pelaksana Teknis Dinas Pendidikankecamatan Tanggulalamat Jl Pb Sudirman No 63 No Semester Education Tema

Contoh Soal Slb Tuna Grahita Sdlb Tunagrahita Terlengkap Terbaru Matematika Kelas 5 Ipa Latihan
![]()
Soal Bahasa Madura Kelas 3 Sd Semester 2 Ops Sekolah Kita
![]()
Soal Uts Bahasa Indonesia Kelas 5 Sd Semester 1
Soal Pts Bahasa Madura Kelas 3
Pelajaran Bahasa Madura Kelas 6 Kumpulan Informasi
Soal Bahasa Madura Kelas 3 Sd Semester 2 Ops Sekolah Kita
![]()
Soal Uts Semester Ii Kelas 1 Bahasa Madura

Contoh Soal Uas Ganjil Bahasa Madura Kelas 7 Smp Mts

Soal Uts Pts Bahasa Madura Kelas 3 Semester 2 Dan Kunci Jawaban Pendidikanterkini

Soal Bahasa Madura Kelas 3 Sd Semester 2 Ops Sekolah Kita
![]()
Soal Bahasa Madura Kelas 1 Sd Menjawab Soal

Posting Komentar untuk "Soal Bahasa Madura Kelas 3"